| Copyright | (C) 2023-2025 Alexey Tochin |
|---|---|
| License | BSD3 (see the file LICENSE) |
| Maintainer | Alexey Tochin <Alexey.Tochin@gmail.com> |
| Safe Haskell | None |
| Language | Haskell2010 |
| Extensions |
|
Debug.SimpleExpr
Description
Minimalistic toolkit for simple mathematical expression developed for debug purposes.
See Tutorial for a quick introduction.
Synopsis
- number :: Natural -> SimpleExpr
- variable :: String -> SimpleExpr
- unaryFunc :: String -> SimpleExpr -> SimpleExpr
- binaryFunc :: String -> SimpleExpr -> SimpleExpr -> SimpleExpr
- simplifyExpr :: SimpleExpr -> SimpleExpr
- simplify :: ExtandableMap SimpleExpr SimpleExpr a a => a -> a
- type SimpleExpr = Fix SimpleExprF
- type SE = SimpleExpr
- data SimpleExprF a
- type Expr = ListOf SimpleExpr
- plotExpr :: Expr d => d -> IO ThreadId
- exprToGraph :: Expr d => d -> DGraph String ()
- plotDGraph :: (Hashable v, Ord v, PrintDot v, Show v, Show e) => DGraph v e -> IO ThreadId
- plotDGraphPng :: (Hashable v, Ord v, PrintDot v, Show v, Show e) => DGraph v e -> FilePath -> IO FilePath
- dependencies :: SimpleExpr -> [SimpleExpr]
- content :: ListOf inner outer => outer -> [inner]
Expression manipulation
number :: Natural -> SimpleExpr Source #
Initializes a single integer number expression.
Examples of usage
>>>a = number 42>>>a42>>>:t aa :: SimpleExpr
variable :: String -> SimpleExpr Source #
Initializes a single symbolic variable expression.
Examples of usage
>>>x = variable "x">>>xx>>>:t xx :: SimpleExpr
unaryFunc :: String -> SimpleExpr -> SimpleExpr Source #
Inituialize unarry function
Examples of usage
>>>x = variable "x">>>f = unaryFunc "f">>>f xf(x)>>>:t xx :: SimpleExpr>>>:t ff :: SimpleExpr -> SimpleExpr
binaryFunc :: String -> SimpleExpr -> SimpleExpr -> SimpleExpr Source #
Inituialize unarry function
Examples of usage
>>>x = variable "x">>>y = variable "y">>>(-*-) = binaryFunc "-*-">>>x -*- yx-*-y>>>:t xx :: SimpleExpr>>>:t (-*-)(-*-) :: SimpleExpr -> SimpleExpr -> SimpleExpr>>>:t x-*-yx-*-y :: SimpleExpr
simplifyExpr :: SimpleExpr -> SimpleExpr Source #
Simplify expression using some primitive rules
like '0 * x -> 0' specified in simplifyStep implementation.
Examples of usage
>>>import Prelude (($))>>>import Debug.SimpleExpr (variable, simplify)>>>import NumHask ((+), (-), (*))
>>>x = variable "x">>>simplifyExpr $ (x + 0) * 1 - x * (3 - 2)0
simplify :: ExtandableMap SimpleExpr SimpleExpr a a => a -> a Source #
Simplify expression using some primitive rules
like '0 * x -> 0' specified in simplifyStep implementation.
Base types
type SimpleExpr = Fix SimpleExprF Source #
Simple expression type, see tutorial
type SE = SimpleExpr Source #
Short type alias for SimpleExpr.
data SimpleExprF a Source #
Expression F-algebra functional.
Instances
type Expr = ListOf SimpleExpr Source #
Expression typeclass.
It includes SimpleExpr as well as list and tuples of SimpleExpr etc.
Visualisation
plotExpr :: Expr d => d -> IO ThreadId Source #
Visualizes an expression.
Examples of usage
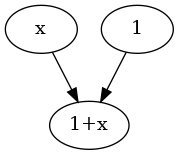
>>>import Debug.SimpleExpr (number, variable)>>>import NumHask ((+), (-))>>>import Data.Graph.VisualizeAlternative (plotDGraphPng)
>>> plotExpr (number 1 + variable "x")

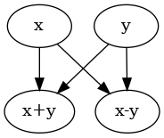
>>>x = variable "x">>>y = variable "y"
>>> plotExpr [x + y, x - y]

exprToGraph :: Expr d => d -> DGraph String () Source #
Transforms an expression to graph.
Examples of usage
>>>import Debug.SimpleExpr (variable)>>>import NumHask ((+), (-))
>>>x = variable "x">>>y = variable "y">>>exprToGraph [x + y, x - y]...
We expect something like
fromList [("y",[("x-y",()),("x+y",())]),("x-y",[]),("x",[("x-y",()),("x+y",())]),("x+y",[])]
depending on the packages version version.
plotDGraphPng :: (Hashable v, Ord v, PrintDot v, Show v, Show e) => DGraph v e -> FilePath -> IO FilePath Source #
Auxiliary functions
dependencies :: SimpleExpr -> [SimpleExpr] Source #
Returns the list of head dependencies of an expression.
Examples of usage
>>>import Prelude (($), id)>>>import NumHask ((+), (*))
>>>dependencies (variable "x" + (variable "y" * variable "z"))[x,y*z]