simple-expr: Minimalistic toolkit for simple mathematical expression.
This is a package candidate release! Here you can preview how this package release will appear once published to the main package index (which can be accomplished via the 'maintain' link below). Please note that once a package has been published to the main package index it cannot be undone! Please consult the package uploading documentation for more information.
This is a minimalistic toolkit for simple mathematical expression developed for debug purposes similar to simple-reflect package but based on slightly different principles. In particular, we use ordinary syntactic trees instead of turning them into strings.
There is a primitive manipulation capability like
>>> simplify $ (x + 0) * 1 - x * (3 - 2) 0
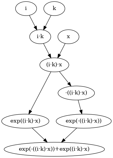
Besides an expression visualization feature is also provided.

See tutorial for details.
Properties
| Versions | 0.1.0.0, 0.1.0.1, 0.1.0.2, 0.1.1.0, 0.2.0.0, 0.2.0.0, 0.2.0.1, 0.2.0.2 |
|---|---|
| Change log | CHANGELOG.md |
| Dependencies | base (>=4.19 && <5), combinatorial (<0.2), composition (<1.1), data-fix (<0.4), graphite (<0.11), graphviz (<2999.21), hashable (<1.6), mtl (<2.4), numhask (<0.14), Stream (<0.5), text (<2.2), unicode-show (<0.2), unordered-containers (<0.3), vector (<0.14), vector-sized (<1.7) [details] |
| License | BSD-3-Clause |
| Copyright | 2024 Alexey Tochin |
| Author | Alexey Tochin |
| Maintainer | Alexey.Tochin@gmail.com |
| Category | Mathematics |
| Uploaded | by AlexeyTochin at 2025-11-19T23:06:13Z |
Modules
[Index] [Quick Jump]
- Control
- Data
- Graph
- Data.Graph.VisualizeAlternative
- Graph
- Debug
Downloads
- simple-expr-0.2.0.0.tar.gz [browse] (Cabal source package)
- Package description (as included in the package)
Maintainer's Corner
Package maintainers
For package maintainers and hackage trustees